TransPhotoҚалалық электр көлігі

Photo Statistics

3189 КБ


Photo ID:1840572
File Size:3189 КБ
Автор:Vladioso
Date published:10.10.2023 08:49 MSK
Days since photo published:730
Unique views:673
Comments:0

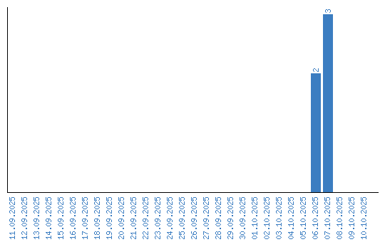
Viewing statistics by date