TransPhotoГрадски електротранспорт

Информация за снимката

4363 КБ


Идентификатор на снимки:1832231
Размер на файла:4363 КБ
Автор:DomnikDPO
Качено:27.09.2023 08:00 MSK
Стоящо в сайта, дни:742
Уникални преглеждания:276
Коментари:0

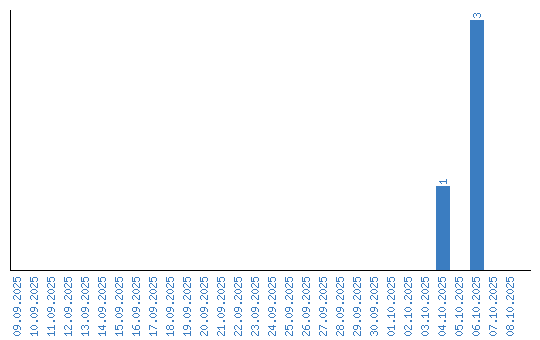
Динамика на преглежданията по дата