TransphotoElektrischer Nahverkehr

Bildinformationen

689 KB


Foto-ID:1821073
Dateigröße:689 KB
Autor:Дарья Лапшина
Veröffentlicht am:10.09.2023 18:37 MSK
Tage seit Veröffentlichung:883
Aufrufe:214
Kommentare:0

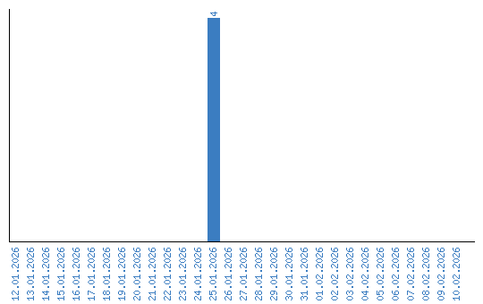
Aufrufestatistik (Tage)