TransPhotoМіський електротранспорт

Статистика по зображенню

673 КБ


Ідентифікатор зображення:1816907
Розмір файлу:673 КБ
Автор:Kisuna
Опубліковано:02.09.2023 08:55 MSK
Знаходиться на сайті, днів:800
Унікальних переглядів:422
Коментарів:0

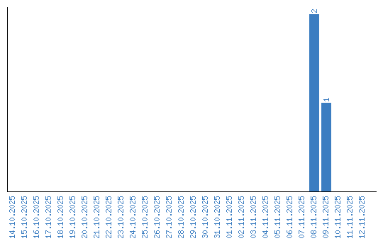
Динаміка переглядів за датами