TransphotoUrban Electric Transit

Photo Statistics

630 KB


Photo ID:1796664
File Size:630 KB
Author:Воробушек НН
Date published:23.07.2023 17:02 MSK
Days since photo published:814
Unique views:260
Comments:0

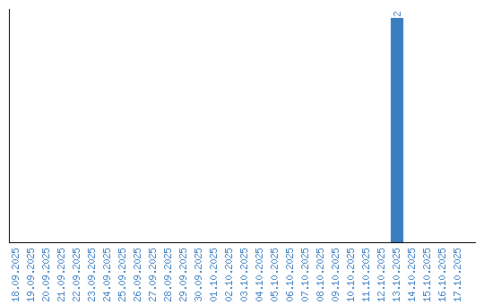
Viewing statistics by date