TransPhotoTransportul electric urban

Statistici foto

662 KB


ID-ul fotografiei:1796331
Dimensiunea fișierului:662 KB
Autor:Воробушек НН
Data publicării:23.07.2023 00:46 MSK
Zile de când fotografia a fost publicată:813
Vizualizări unice:480
Comentarii:1

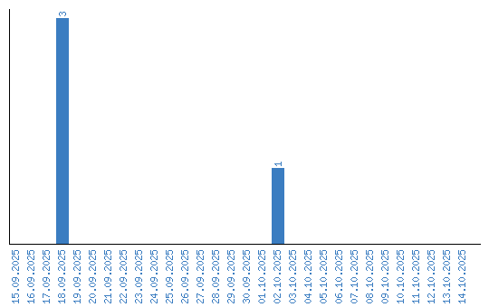
Vizualizarea statisticilor după dată