TransPhotoKentsel Elektrikli Ulaşım

Photo Statistics

640 KB


Photo ID:1757905
File Size:640 KB
Yazar:Illusion
Date published:08.05.2023 09:27 MSK
Days since photo published:1020
Unique views:309
Comments:0

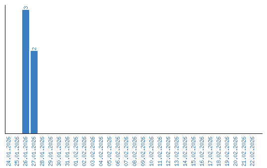
Viewing statistics by date