TransphotoUrban Electric Transit

Photo Statistics

447 KB


Photo ID:1744317
File Size:447 KB
Author:Боно
Date published:07.04.2023 09:45 MSK
Days since photo published:924
Unique views:411
Comments:0

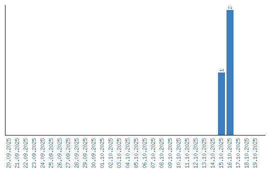
Viewing statistics by date