TransPhotoMiejski Transport Elektryczny

Informacja o zdjęciu

669 kB


Identyfikator zdjęcia:1742175
Rozmiar pliku:669 kB
Autor:дядя андрей
Opublikowano:01.04.2023 16:56 MSK
Znajduje się na stronę, dni:972
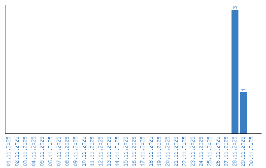
Odsłon:285
Komentarzy:0

Liczba oglądających wg dat