TransPhotoსაქალაქო ელექტრო ტრანსპორტი

Photo Statistics

681 KB


Photo ID:1732564
File Size:681 KB
ავტორი:Merru
Date published:08.03.2023 20:21 MSK
Days since photo published:1059
Unique views:499
Comments:0

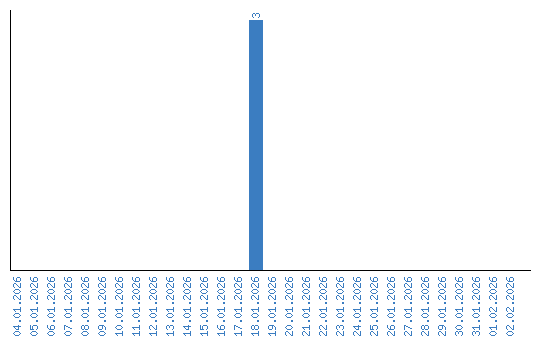
Viewing statistics by date