TransphotoElektrischer Nahverkehr

Bildinformationen

599 KB


Foto-ID:1727458
Dateigröße:599 KB
Autor:Даня Сумовський
Veröffentlicht am:23.02.2023 11:56 MSK
Tage seit Veröffentlichung:1062
Aufrufe:395
Kommentare:0

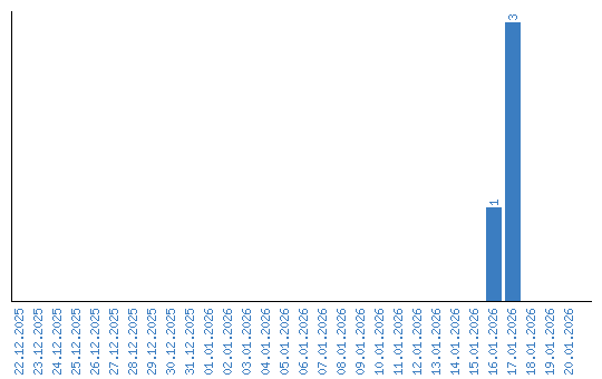
Aufrufestatistik (Tage)