TransPhotoГородской электротранспорт

Информация об изображении

541 КБ


Идентификатор изображения:1720843
Размер файла:541 КБ
Автор:МАКСавто
Опубликовано:08.02.2023 13:04 MSK
Находится на сайте, дней:1032
Уникальных просмотров:761
Комментариев:0

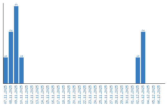
Динамика просмотров по датам