TransphotoUrban Electric Transit

Photo Statistics

828 KB


Photo ID:1686296
File Size:828 KB
Author:Никита Мурдасов
Date published:12.11.2022 03:00 MSK
Days since photo published:1104
Unique views:265
Comments:0

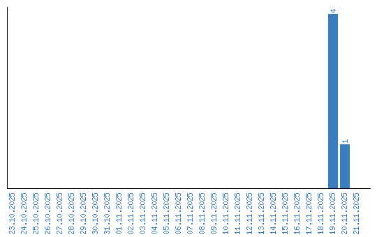
Viewing statistics by date