TransPhotoМіський електротранспорт

Статистика по зображенню

480 КБ


Ідентифікатор зображення:1665770
Розмір файлу:480 КБ
Автор:Евгений Александрович
Опубліковано:18.09.2022 20:37 MSK
Знаходиться на сайті, днів:1146
Унікальних переглядів:503
Коментарів:0

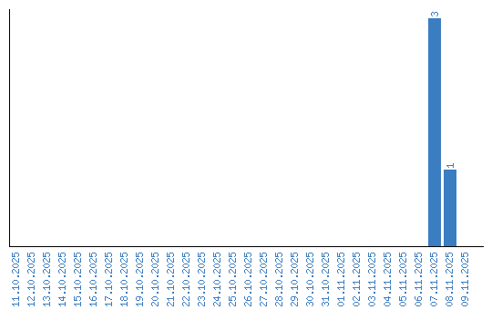
Динаміка переглядів за датами