TransPhotoГарадскі электратранспарт

Iнфармацыя пра малюнак

270 КБ


Ідэнтыфікатар малюнка:1664862
Памер файла:270 КБ
Даслаў:Владислав-Днепр
Апублікавана:15.09.2022 22:44 MSK
Знаходзіцца на сайце, дзён:1147
Унікальных праглядаў:2056
Каментароў:45

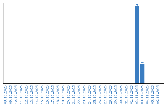
Дынаміка праглядаў па датах