TransPhotoTransporte eléctrico urbano

Photo Statistics

681 KB


Photo ID:1628169
File Size:681 KB
Autor:echoes97
Date published:23.06.2022 10:14 MSK
Days since photo published:1288
Unique views:450
Comments:0

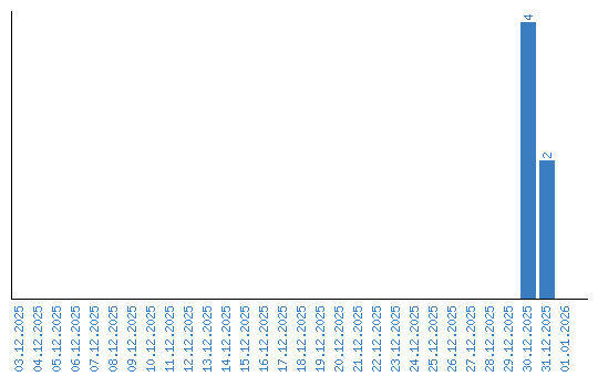
Viewing statistics by date