TransPhotoГарадскі электратранспарт

Iнфармацыя пра малюнак

675 КБ


Ідэнтыфікатар малюнка:1609176
Памер файла:675 КБ
Аўтар:pewu
Апублікавана:07.05.2022 19:12 MSK
Знаходзіцца на сайце, дзён:1262
Унікальных праглядаў:456
Каментароў:0

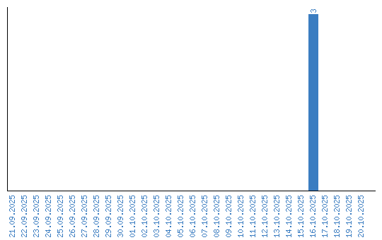
Дынаміка праглядаў па датах