TransPhotoსაქალაქო ელექტრო ტრანსპორტი

Photo Statistics

686 KB


Photo ID:1604589
File Size:686 KB
ავტორი:Александр Роганов
Date published:26.04.2022 19:16 MSK
Days since photo published:1297
Unique views:325
Comments:0

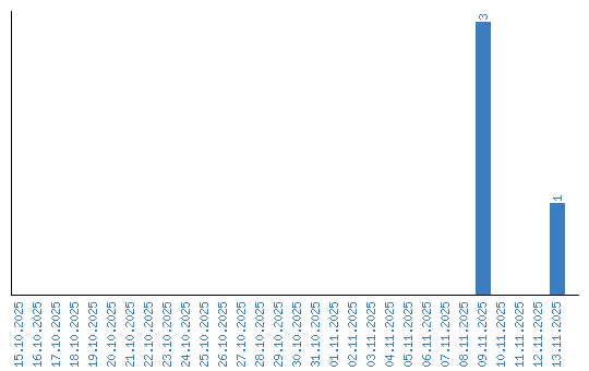
Viewing statistics by date