TransPhotoსაქალაქო ელექტრო ტრანსპორტი

Photo Statistics

759 KB


Photo ID:1596958
File Size:759 KB
გამოაგზავნა:Аркадий Новожилов
Date published:08.04.2022 01:05 MSK
Days since photo published:1297
Unique views:742
Comments:2

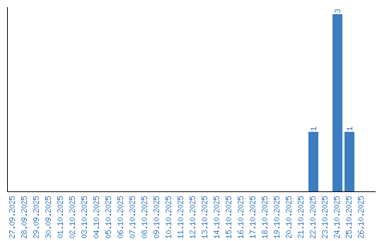
Viewing statistics by date