TransphotoUrban Electric Transit

Photo Statistics

59 KB


Photo ID:1577763
File Size:59 KB
Posted by:200Х
Date published:10.02.2022 17:06 MSK
Days since photo published:1421
Unique views:471
Comments:0

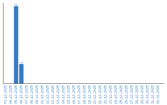
Viewing statistics by date