TransphotoTransports Électriques de Ville

Statistiques d'image

621 KB


ID de photo:1565953
Taille du fichier:621 KB
Auteur:Nivin
Date de publication:11.01.2022 13:22 MSK
Jours dans la base de données:1418
Vues uniques:369
Commentaires:0

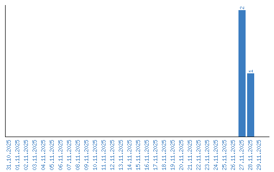
Affichage des statistiques par date