TransphotoElektrični gradski prijevoz

Photo Statistics

687 KB


Photo ID:1562641
File Size:687 KB
Autor:Aleksandr Sazykin
Date published:03.01.2022 17:30 MSK
Days since photo published:1413
Unique views:597
Comments:6

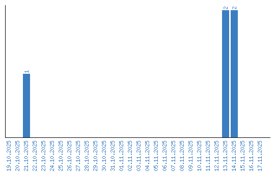
Viewing statistics by date