TransPhotoГородской электротранспорт

Информация об изображении

1240 КБ


Идентификатор изображения:1559445
Размер файла:1240 КБ
Автор:Senko Baton
Опубликовано:26.12.2021 00:19 MSK
Находится на сайте, дней:1440
Уникальных просмотров:1381
Комментариев:0

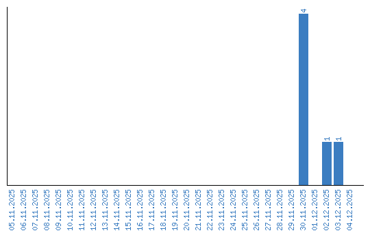
Динамика просмотров по датам