TransPhotoГрадски електротранспорт

Информация за снимката

471 КБ


Идентификатор на снимки:1541230
Размер на файла:471 КБ
Автор:Антифактор
Качено:04.11.2021 22:20 MSK
Стоящо в сайта, дни:1477
Уникални преглеждания:504
Коментари:0

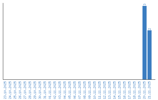
Динамика на преглежданията по дата