TransPhotoElektrinis miestų viešasis transportas

Nuotraukos informacija

490 Kb


Nuotraukos identifikatorius:1528396
Bylos dydis:490 Kb
Autorius:tavalex2007
Publikuota:03.10.2021 09:22 MSK
Yra tinklapyje dienų:1471
Unikalių peržiūrų:362
Komentarų:0

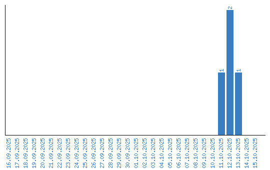
Peržiūrų dinamika pagal dienas