TransPhotoГородской электротранспорт

Информация об изображении

92 КБ


Идентификатор изображения:152320
Размер файла:92 КБ
Автор:Александр Шанин
Опубликовано:14.03.2009 06:02 MSK
Находится на сайте, дней:6110
Уникальных просмотров:1764
Комментариев:6

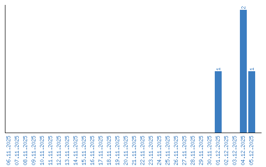
Динамика просмотров по датам