TransphotoElektrischer Nahverkehr

Bildinformationen

696 KB


Foto-ID:1489416
Dateigröße:696 KB
Autor:Игорь Сериков
Veröffentlicht am:21.06.2021 21:14 MSK
Tage seit Veröffentlichung:1589
Aufrufe:689
Kommentare:0

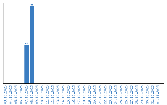
Aufrufestatistik (Tage)