TransphotoUrban Electric Transit

Photo Statistics

499 KB


Photo ID:1483680
File Size:499 KB
Author:Sonyboy
Date published:05.06.2021 17:16 MSK
Days since photo published:1593
Unique views:401
Comments:0

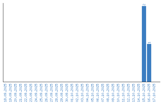
Viewing statistics by date