TransphotoElektrični gradski prijevoz

Photo Statistics

481 KB


Photo ID:1478450
File Size:481 KB
Autor:Бахмутов Т.Н.
Date published:23.05.2021 10:16 MSK
Days since photo published:1640
Unique views:1972
Comments:4

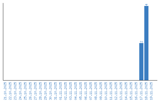
Viewing statistics by date