TransFotoTransporte eléctrico urbano

Photo Statistics

311 KB


Photo ID:1470883
File Size:311 KB
Autor:Volk85
Date published:02.05.2021 15:26 MSK
Days since photo published:1728
Unique views:922
Comments:1

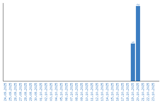
Viewing statistics by date