TransPhotoҚалалық электр көлігі

Photo Statistics

487 КБ


Photo ID:1469227
File Size:487 КБ
Автор:Kaiser_Wilhelm_II
Date published:27.04.2021 19:15 MSK
Days since photo published:1768
Unique views:834
Comments:0

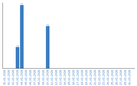
Viewing statistics by date