TransphotoTransports Électriques de Ville

Statistiques d'image

583 KB


ID de photo:1468614
Taille du fichier:583 KB
Auteur:TRalex
Date de publication:25.04.2021 22:10 MSK
Jours dans la base de données:1643
Vues uniques:772
Commentaires:0

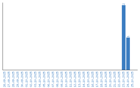
Affichage des statistiques par date