TransPhotoElektrinis miestų viešasis transportas

Nuotraukos informacija

948 Kb


Nuotraukos identifikatorius:1461071
Bylos dydis:948 Kb
Atsiuntė:Олег Сывороткин
Publikuota:04.04.2021 03:50 MSK
Yra tinklapyje dienų:1697
Unikalių peržiūrų:661
Komentarų:10

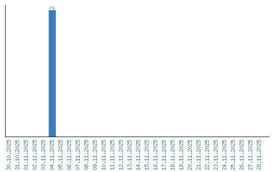
Peržiūrų dinamika pagal dienas