TransphotoElektrični gradski prijevoz

Photo Statistics

495 KB


Photo ID:1427754
File Size:495 KB
Autor:Копылов Н.О.
Date published:06.01.2021 17:40 MSK
Days since photo published:1767
Unique views:767
Comments:2

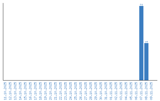
Viewing statistics by date