TransPhotoҚалалық электр көлігі

Photo Statistics

226 КБ


Photo ID:1422080
File Size:226 КБ
Жіберді:09inc
Date published:23.12.2020 06:50 MSK
Days since photo published:1765
Unique views:551
Comments:0

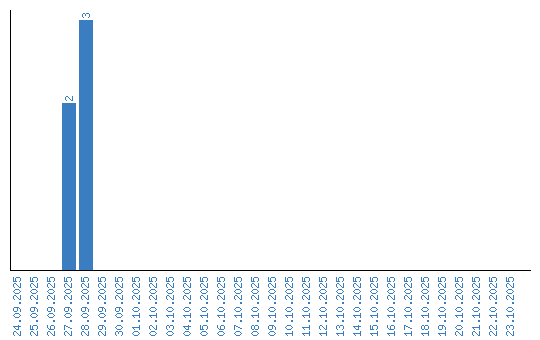
Viewing statistics by date