TransPhotoსაქალაქო ელექტრო ტრანსპორტი

Photo Statistics

576 KB


Photo ID:1420710
File Size:576 KB
ავტორი:Viru
Date published:19.12.2020 15:45 MSK
Days since photo published:1777
Unique views:556
Comments:0

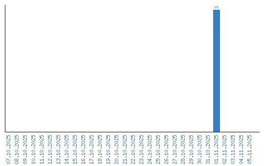
Viewing statistics by date