TransPhotoҚалалық электр көлігі

Photo Statistics

333 КБ


Photo ID:1412690
File Size:333 КБ
Жіберді:Zubozht
Date published:27.11.2020 05:46 MSK
Days since photo published:1920
Unique views:714
Comments:4

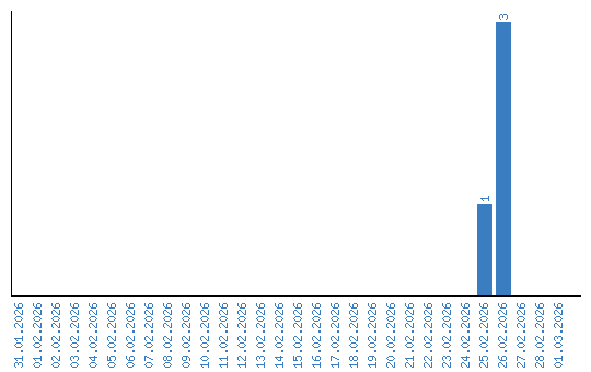
Viewing statistics by date