TransPhotoKentsel Elektrikli Ulaşım

Photo Statistics

272 KB


Photo ID:1397801
File Size:272 KB
Yazar:M. N.
Date published:18.10.2020 14:56 MSK
Days since photo published:1912
Unique views:220
Comments:0

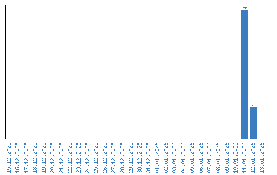
Viewing statistics by date