TransphotoTransports Électriques de Ville

Statistiques d'image

353 KB


ID de photo:1385497
Taille du fichier:353 KB
Auteur:igbt_rccs
Date de publication:16.09.2020 20:45 MSK
Jours dans la base de données:1893
Vues uniques:312
Commentaires:0

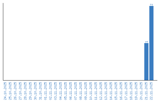
Affichage des statistiques par date