TransphotoUrban Electric Transit

Photo Statistics

471 KB


Photo ID:1379622
File Size:471 KB
Author:prokofsv
Date published:31.08.2020 10:18 MSK
Days since photo published:1981
Unique views:1106
Comments:1

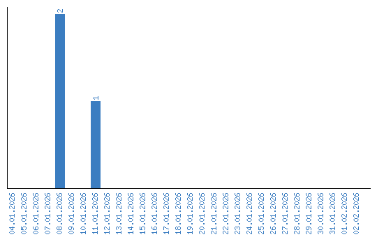
Viewing statistics by date