TransPhotoElektrinis miestų viešasis transportas

Nuotraukos informacija

381 Kb


Nuotraukos identifikatorius:1346898
Bylos dydis:381 Kb
Autorius:iNikit0s
Publikuota:07.06.2020 00:04 MSK
Yra tinklapyje dienų:2091
Unikalių peržiūrų:1485
Komentarų:0

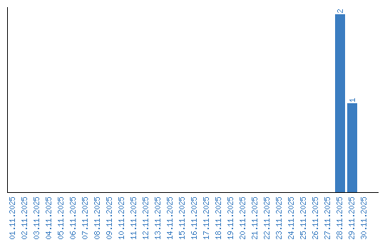
Peržiūrų dinamika pagal dienas