TransphotoUrban Electric Transit

Photo Statistics

362 KB


Photo ID:1335071
File Size:362 KB
Posted by:metafizich
Date published:08.05.2020 23:13 MSK
Days since photo published:2093
Unique views:441
Comments:0

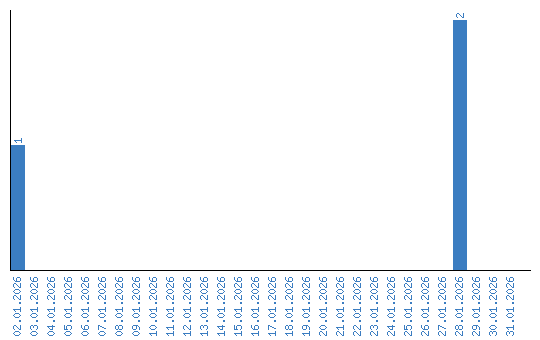
Viewing statistics by date