TransphotoUrban Electric Transit

Photo Statistics

485 KB


Photo ID:1334008
File Size:485 KB
Author:Дмитрий Касаткин
Date published:05.05.2020 19:01 MSK
Days since photo published:2005
Unique views:1097
Comments:10

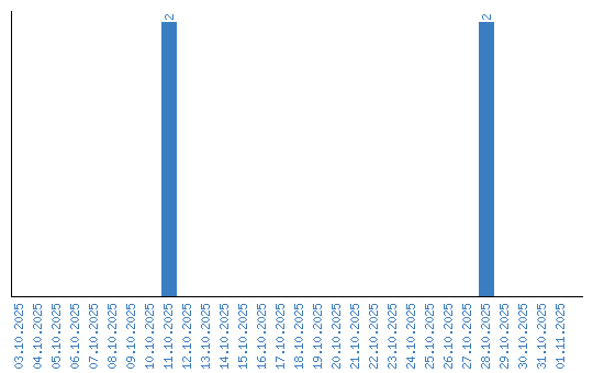
Viewing statistics by date