TransPhotoLinnade elektritransport

Informatsioon foto kohta

492 KB


Pildi ID:1328455
Faili suurus:492 KB
Autor:Кочешков Александр
Avaldatud:24.04.2020 19:25 MSK
Päevi saidil:2042
Unikaalseid vaatamisi:1285
Kommentaare:9

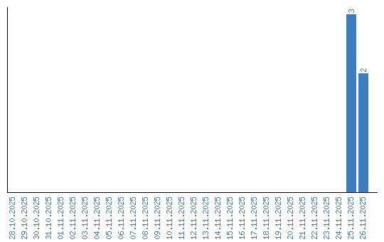
Vaatamiste statistika kuupäeviti