TransPhotoГородской электротранспорт

Информация об изображении

466 КБ


Идентификатор изображения:1319636
Размер файла:466 КБ
Прислал:Сэм
Опубликовано:03.04.2020 02:34 MSK
Находится на сайте, дней:2041
Уникальных просмотров:1115
Комментариев:4

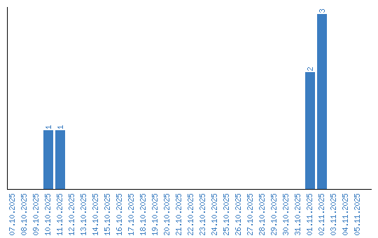
Динамика просмотров по датам