TransPhotoTransporte eléctrico urbano

Photo Statistics

372 KB


Photo ID:1313088
File Size:372 KB
Posted by:oitru
Date published:19.03.2020 23:36 MSK
Days since photo published:2110
Unique views:1013
Comments:7

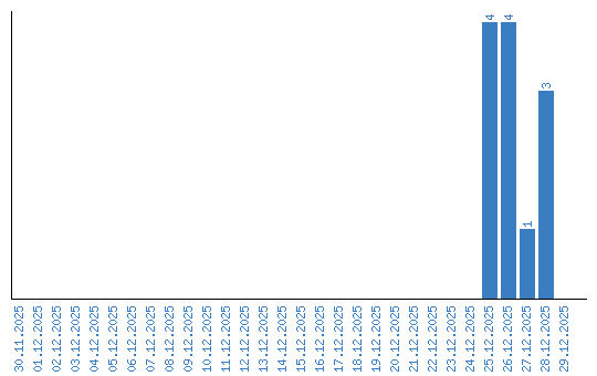
Viewing statistics by date