TransphotoElektrični gradski prijevoz

Photo Statistics

495 KB


Photo ID:1298327
File Size:495 KB
Autor:Сэм
Date published:27.01.2020 21:52 MSK
Days since photo published:2216
Unique views:521
Comments:0

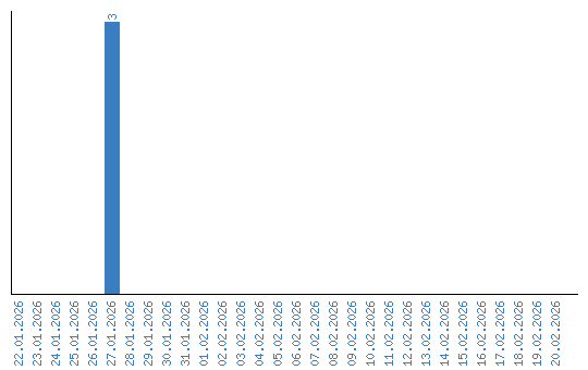
Viewing statistics by date