TransphotoElektrischer Nahverkehr

Bildinformationen

286 KB


Foto-ID:1290484
Dateigröße:286 KB
Hochgeladen von:С. Чекалкин
Veröffentlicht am:02.01.2020 01:43 MSK
Tage seit Veröffentlichung:2114
Aufrufe:722
Kommentare:0

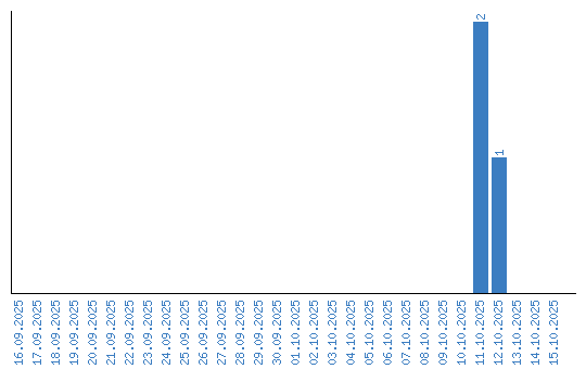
Aufrufestatistik (Tage)