TransPhotoГарадскі электратранспарт

Iнфармацыя пра малюнак

425 КБ


Ідэнтыфікатар малюнка:1246047
Памер файла:425 КБ
Аўтар:TramNN
Апублікавана:13.08.2019 17:37 MSK
Знаходзіцца на сайце, дзён:2297
Унікальных праглядаў:699
Каментароў:4

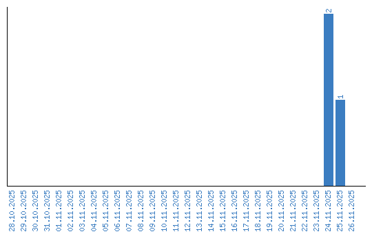
Дынаміка праглядаў па датах