TransphotoUrban Electric Transit

Photo Statistics

264 KB


Photo ID:1236001
File Size:264 KB
Author:MAX500MAX
Date published:14.07.2019 21:09 MSK
Days since photo published:2391
Unique views:560
Comments:0

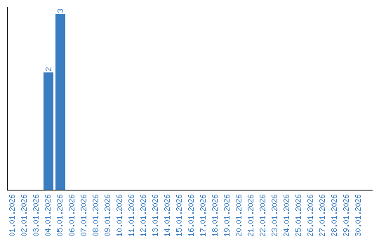
Viewing statistics by date